Description
Given the root of a binary tree and an integer targetSum, return true if the tree has a root-to-leaf path such that adding up all the values along the path equals targetSum.
A leaf is a node with no children.
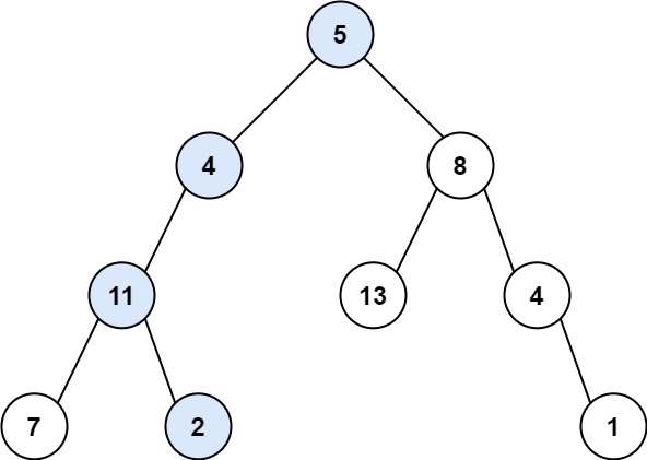
Example 1:

Input: root = [5,4,8,11,null,13,4,7,2,null,null,null,1], targetSum = 22 Output: true
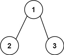
Example 2:

Input: root = [1,2,3], targetSum = 5 Output: false
Example 3:
Input: root = [1,2], targetSum = 0 Output: false
My solution
class Solution:
def hasPathSum(self, root: Optional[TreeNode], targetSum: int) -> bool:
visited = []
results = []
def dfs(self, node):
if (not node.left) and (not node.right):
results.append(node.val)
if node not in visited:
visited.append(node)
if node.left:
node.left.val += node.val
dfs(self, node.left)
if node.right:
node.right.val += node.val
dfs(self, node.right)
if not root:
return False
else:
dfs(self, root)
return targetSum in results
저는 search한 결과를 한 리스트에 저장하여 targetSum이 있다면 True, 없으면 False를 return하는 방식으로 구현하였습니다. 하지만 이는 어제 풀었던 [프로그래머스] 타겟 넘버처럼 recursive한 방식으로도 풀 수 있는 것을 확인할 수 있었습니다.
class Solution:
def hasPathSum(self, root: Optional[TreeNode], targetSum: int) -> bool:
if not root:
return False
if (not root.left) and (not root.right) and targetSum - root.val == 0:
result = True
else:
result = False
return result or self.hasPathSum(root.left, targetSum - root.val) or self.hasPathSum(root.right, targetSum - root.val)
문제 출처 : https://leetcode.com/problems/path-sum/submissions/
Path Sum - LeetCode
Level up your coding skills and quickly land a job. This is the best place to expand your knowledge and get prepared for your next interview.
leetcode.com
'Algorithm > Daily Coding Tests Challenge' 카테고리의 다른 글
| [프로그래머스] level2. H-Index (0) | 2021.09.13 |
|---|---|
| [Leetcode] Easy: Same Tree (0) | 2021.09.09 |
| [프로그래머스] level2. 타겟 넘버 (0) | 2021.09.08 |
| [Baekjoon] 그리디 알고리즘 : ATM (0) | 2021.09.07 |
| [프로그래머스] level2. 소수 찾기 (0) | 2021.09.07 |